Este trabajo está bajo una Licencia Creative Commons Atribución-NoComercial-CompartirIgual 4.0 Internacional (CC-BY-NC-SA).

ARTÍCULO

Prácticas de preparación y consumo de alimentos en sociedades Aguada del Valle de Ambato, Catamarca (siglos VI-XI d.C.): una aproximación desde los microrrestos vegetales

Pilar Escudero Pacheco

https://orcid.org/0009-0007-6506-8881

Museo de Antropologías, Facultad de Filosofía y Humanidades, Universidad Nacional de Córdoba (UNC). Av. Hipólito Yrigoyen 174 (CP X5000JHO), Córdoba, Argentina. E-mail: pilar.escudero@mi.unc.edu.ar

Aldana Tavarone

https://orcid.org/0000-0002-2645-3986

Instituto de Antropología de Córdoba (IDACOR), Consejo Nacional de Investigaciones Científicas y Técnicas (CONICET) - Universidad Nacional de Córdoba (UNC). Av. Hipólito Yrigoyen 174 (CP X5000JHO), Córdoba, Argentina. E-mail: aldana.tavarone@ffyh.unc.edu.ar

Andrés Laguens

http://orcid.org/0000-0002-1367-3242

Instituto de Antropología de Córdoba (IDACOR), Consejo Nacional de Investigaciones Científicas y Técnicas (CONICET) - Universidad Nacional de Córdoba (UNC). Av. Hipólito Yrigoyen 174 (CP X5000JHO), Córdoba, Argentina. E-mail: andreslaguens@gmail.com

Recibido: 15 de septiembre de 2024
Aceptado: 19 de marzo de 2025

Resumen

En el Valle de Ambato, los sitios arqueológicos registran actividades relacionadas con el procesamiento y almacenamiento de alimentos bajo condiciones de desigualdad social y económica, existiendo un acceso diferencial a los recursos. En este marco, resulta de interés conocer las particularidades de estas actividades para comprender el papel que ocupó el recurso-comida en la conformación de estas sociedades en el pasado. Este estudio se centró en identificar silicofitolitos y granos de almidón presentes en adherencias de fragmentos cerámicos, los cuales fueron clasificados siguiendo investigaciones previas de acuerdo con sus aspectos tecnológicos y morfológicos. De esta manera, se buscó inferir métodos de preparación y consumo de alimentos en el sitio Piedras Blancas, estableciendo una correlación entre los microrrestos vegetales hallados y su presencia en diferentes variedades de vasijas cerámicas, considerando aspectos como la composición de la pasta, las formas y funciones. Los hallazgos incluyeron maíz (Zea mays), algarrobo (Neltuma sp.), papa (Solanum tuberosum), poroto (Phaseolus sp.), ulluco (Ullucus tuberosus) y morfotipos afines a las familias Cucurbitaceae y Arecaceae. Se identificaron diversas técnicas de procesamiento, como la molienda y la exposición de distintas partes de la planta a diferentes fuentes de calor. Estos resultados sugieren un patrón de consumo vegetal similar al de otros sitios del valle, indicando que las prácticas alimentarias y de procesamiento eran ampliamente compartidas entre diferentes sectores de la sociedad.

Palabras Clave: Preparaciones culinarias, Identidad social, Interacciones arqueológicas, Cultura Aguada

Food preparation and consumption practices in Aguada societies of the Ambato Valley, Catamarca (VI-XI centuries A.D.): an approach from plant microremains

Abstract

In the Ambato Valley, archaeological sites record activities related to food processing and storage under conditions of social and economic inequality, with differential access to resources. Within this framework, understanding the specifics of these activities is of interest to better comprehend the role played by the resource-food in the formation of these past societies. This study focused on identifying silicophytoliths and starch grains on residues from ceramic fragments, which were classified following previous research according to their technological and morphological aspects. In this way, we sought to infer methods of food preparation and consumption at the Piedras Blancas site, establishing a correlation between the recovered plant microremains and their presence in different varieties of ceramic vessels, considering aspects such as paste composition, shapes, and functions. Findings included maize (Zea mays), carob (Neltuma sp.), potato (Solanum tuberosum), bean (Phaseolus sp.), ulluco (Ullucus tuberosus) and morphotypes related to the Cucurbitaceae and Arecaceae families. Various processing techniques were identified, such as grinding and exposure of different parts of the plant to various heat sources. These results suggest a plant consumption pattern like that of other sites in the valley, indicating that food and processing practices were widely shared across different social sectors.

Keywords: Culinary preparations; Social identity, Archaeological interactions, Aguada culture

Introducción

La comida y sus preparaciones crean fuertes experiencias evocativas y recuerdos profundos de sabores y olores que se mantienen en comunidad formando, desde acciones rutinarias, la identidad de una persona o un grupo (Atalay y Hastorf, 2006). Según Hastorf (2017), como todos los símbolos y cosas que reciben significado, los alimentos no existen sin clasificación e identificación, proceso que ocurre al elegir aquellos ingredientes como comestibles antes de consumirlos o cocinarlos. Es en ese momento donde la agencia de estos se hace manifiesta, ya que alteran nuestros cuerpos y experiencias. A su vez, la repetición diaria de estas acciones para la supervivencia implica técnicas corporales y el uso de la memoria, lo que inculca un habitus. Como lo explica Bourdieu (2007), este concepto refiere a un conjunto de disposiciones corporales que estructuran la acción en el mundo, instanciando inconscientemente los roles sociales, las categorías culturales y las percepciones de identidad y diferencia. En este sentido, la comida no solo refleja la vida social, sino que también se integra en ella como un agente activo en su conformación y reproducción.

La zona de estudio es el Valle de Ambato, Catamarca (Argentina). En este escenario geográfico se desarrollaron, entre los siglos IV y XI d.C., las sociedades Aguada (González, 1961-1964) que se extendieron por el sur del noroeste argentino, marcando el inicio de lo que Pérez Gollán (1991) denominó periodo de Integración Regional. El modo de vida de estas poblaciones experimentó cambios significativos en comparación con momentos previos, reflejados en una intensificación económica y la producción de excedentes, vinculados a un incremento demográfico, diversificación de roles, especialización artesanal y el surgimiento de desigualdades sociales, políticas y económicas (Laguens, 2004). En los sitios arqueológicos de la zona, se han registrado actividades vinculadas con el procesamiento y almacenamiento de alimentos, así como un sistema agrícola que incluía aterrazamientos, canales y represas (Figueroa, 2010; Figueroa et al., 2015; Pazzarelli, 2006, 2011).

Las preparaciones culinarias habrían implicado diversas transformaciones de los recursos vegetales, tanto silvestres o cultivados, mediante procesos como hervido, tostado y fermentado, con o sin molienda previa (Pazzarelli, 2011). Estudios previos sugieren que las condiciones sociales y económicas de estas prácticas variaban entre los diferentes sectores de la población, lo que indicaría un acceso diferencial a los recursos (Dantas, 2010; Laguens, 2014). En este sentido, surge la pregunta de si existían similitudes en las prácticas cotidianas entre distintos segmentos sociales.

En este contexto, resulta de interés conocer las particularidades de dichas prácticas para comprender los ritmos de la vida social cotidiana y el papel que ocupó el recurso-comida en la conformación y reproducción de esta sociedad. Por lo tanto, esta investigación tiene como objetivo la identificación taxonómica de los microrrestos vegetales (silicofitolitos y granos de almidón) presentes en las adherencias de piezas cerámicas, como un medio para aproximarse a las formas de preparación y consumo de alimentos en un sitio Aguada del Valle de Ambato, Piedras Blancas. Este sitio se caracteriza por corresponder a un grupo minoritario de la sociedad, con acceso y disponibilidad a una mayor diversidad de recursos materiales y simbólicos, en comparación con otros grupos sociales (Laguens, 2004, 2007). En función de esta meta, se busca determinar la presencia de microrrestos vegetales y analizar las variaciones en las pastas, formas y funciones de vasijas cerámicas.

Materiales y métodos

El Valle de Ambato se encuentra en la región sur de la provincia de Catamarca y se emplaza entre el cordón montañoso Ambato-Manchao al oeste y las sierras de Graciana-Balcozna hacia el este. El clima que lo caracteriza es continental cálido, con precipitaciones anuales de 500 a 800 mm y lluvias estivales locales. Cabe señalar que es una zona lindante con otras provincias biogeográficas con características disímiles. Al noroeste, limita con las provincias Prepuneña y del Monte (Morrone, 2017) y hacia el noreste con el extremo meridional de las Yungas, la Selva Tucumano-Boliviana del Dominio Amazónico. En cuanto a la vegetación característica del valle, se distinguen distintos “cinturones” o “pisos”, cada uno con una estructura y composición particulares. El primer piso presenta una fisionomía de bosque serrano, seguido de un piso de arbustos y pastos. Dicha transición está relacionada con la altitud: a medida que la altura se incrementa, las especies leñosas disminuyen, dando lugar a un pastizal prácticamente puro (Morláns y Guichón, 1995).

El sitio arqueológico Piedras Blancas, donde se recuperaron los materiales analizados, se ubica en el fondo del valle, sobre la segunda terraza de la margen derecha del río Los Puestos, a menos de 100 m de distancia (Figura 1). Ha sido definido por Assandri (2006) dentro de su categorización de los sitios del Valle de Ambato como “muy grande”, presentando una planta rectangular de casi 100 m en cada lado, con un patio o espacio abierto central y recintos que dan al mismo en sus lados este y norte (Laguens, 2023). Su construcción se compone de paredes de tapia con columnas de piedra de cantos rodados y algunas paredes de pirca en los recintos y un muro perimetral de tapia que se diferencia del de los recintos internos por su mayor espesor (90cm), con una altura promedio que ronda los 2 m de alto. El sector central del sitio se ve interrumpido por un acceso franco de aproximadamente 3 m de largo, que da ingreso al patio, desde el cual se accede a los recintos. Al oeste de este acceso se encuentra un montículo sin evidencia de estructuras internas. Entre los años 1996 y 2008 se llevaron a cabo excavaciones que incluyeron cuatro recintos, partes del patio, el muro perimetral y una porción significativa del montículo. Los 16 fechados radiocarbónicos realizados ubican al sitio en un rango temporal entre 574 y 1225 cal d.C. (1σ) o entre 469 y 1270 cal d.C. (2σ). El final de la ocupación de este sitio, así como de otros con evidencia de incendios en el valle, como Iglesia de los Indios y Martínez 2, podría situarse entre 674 y 1278 cal d.C. (1σ) o entre 660 y 1300 cal d.C. según análisis basados en materiales de vida biológica corta (Marconetto et al., 2014).

Figura 1. Ubicación del sitio arqueológico Piedras Blancas en el Valle de Ambato. Autor: Reinaldo A. Moralejo.

Se seleccionaron 42 fragmentos cerámicos, priorizando aquellos con elementos diagnósticos para reconstruir formas y tamaños, como bordes y bases (Figura 2). La selección se realizó en función de clases tecnológicas, morfológicas y funcionales establecidas en investigaciones previas (Bedano et al., 1993; Fabra, 2007; Gastaldi, 2010; Pazzarelli, 2006, 2011) y se orientó a representar la mayor variedad de tipos cerámicos en cuanto a pastas y formas.

Figura 2. Fragmentos cerámicos representativos del total de piezas analizadas. A) Base correspondiente a Vasijas Globulares (VG) de Clase tecnológica A; B) Borde correspondiente a Grandes Vasijas (GV) de Clase tecnológica A; C) Base correspondiente a Pucos de Clase tecnológica B. Nota: En la Figura 6 se detallan las formas de estas vasijas cerámicas.

La extracción de los residuos vegetales adheridos a los fragmentos cerámicos se realizó siguiendo los criterios propuestos por Musaubach (2017), que consisten en el raspado en seco de la cara interna, externa y matriz, prestando especial atención a los sectores donde se registran residuos visibles, porosidades y/o grietas. La cuantificación y determinación de los microrrestos vegetales se realizó mediante la observación de las muestras en un microscopio óptico de luz blanca y polarizada, con una cámara digital incorporada para capturar microfotografías. Para la identificación taxonómica de los fitolitos, se describieron las formas según el International Code for Phytolith Nomenclature (ICPT, 2019) y se siguieron las pautas clasificatorias de otros autores para las asignaciones botánicas, considerando rangos de medidas, texturas de superficie y contornos de forma, principalmente sobre elementos de referencia y arqueológicos (Bertoldi de Pomar, 1971). En cuanto a la descripción de los granos de almidón, se siguieron las pautas clasificatorias del International Code for Starch Nomenclature (ICSN , 2011) y se compararon las variables métricas y morfológicas disponibles en colecciones de referencia modernas y arqueológicas (Babot, 2003; Korstanje y Babot, 2007).

Para identificar granos de almidón con afinidad taxonómica incierta, se elaboró una colección de referencia que incluyó la caracterización de granos de almidón de papa (Solanum tuberosum), ulluco (Ullucus tuberosus), oca (Oxalis tuberosa), papa colorada (Solanum tuberosum sp. andigena), poroto (Phaseolus vulgaris), quínoa (Chenopodium quinoa), mandioca (Manihot esculenta) y zapallo (Cucurbita maxima).

Seguidamente, se analizaron los materiales cerámicos siguiendo las clasificaciones definidas por Fabra (2007) para las pastas cerámicas, las de Bedano y colaboradores (1993) para lo referido a las formas de las piezas y a Pazzarelli (2006, 2011) y Gastaldi (2010) para estimar potenciales funciones.

Resultados

Identificación taxonómica

Se observó la presencia de distintos tipos de microrrestos vegetales en la totalidad de las caras internas de los fragmentos cerámicos analizados (N = 42). Sin embargo, las proporciones entre estos restos variaron considerablemente. De un total de 1.771 elementos identificados, 955 (53,92%) corresponden a silicofitolitos, 801 (45,23%) granos de almidón, nueve (0,51%) diatomeas, cinco espículas de espongiarios (0,34%) y un solo (0,06%) grano de polen.

Con respecto a los elementos silíceos, predominan los correspondientes a las familias de gramíneas, principalmente de las subfamilias Chloridoideae, Danthonioideae, Pooideae y Panicoideae (75%). Entre estos, se identificaron morfotipos elongados, conos truncados, sillas de montar, bilobados, lanceolados, flabelados, blockys y oblongos. También se registraron elementos circulares de colores rosados o amarillentos (Figura 3D) que fueron asociados al algarrobo (Neltuma sp.) (15,38%) (Korstanje y Babot, 2007). Por otro lado, se hallaron morfotipos esféricos equinados (Figura 3B) vinculados a la familia de Arecaceae (4,49%) (Benvenuto et al., 2015) y esféricos facetados (Figura 3F), que se asociaron al género Cucurbita sp. (1,28%) (Piperno, 2006). Por último, el maíz (Zea mays) fue identificado en un 3,85% de los casos, a partir de morfotipos en forma de cruz (Figura 3E) (Ball et al., 2016) y de la presencia de los morfotipos Wavy-top rondel (Figura 3A) y Ruffle-top rondel (Figura 3C), caracterizados por presentan un borde superior ondulado o arrugado (Pearsall et al., 2003).

Figura 3. Morfotipos silíceos identificados. A) Wavy-top rondel afín a Zea mays; B) Esférico equinado afín a Arecaceae; C) Ruffle-top rondel afín a Zea mays; D) Rondel afín a Neltuma sp.; E) Cruz afín a Zea mays; F) Esférico facetado afín a Cucurbitaceae.

En lo que respecta a los almidones, Zea mays) (41,67%), presentaron formas mayormente irregulares, con facetas de compresión profunda. El hilum se observó en forma esférica, de V o lineal con una cruz de malta central, simétrica, con cuatro brazos visibles que se cruzan en ángulo recto. Los tamaños variaron entre los 12 µm de diámetro mínimo y 22 µm de diámetro máximo (Figura 4Da y 4Db). Los granos de almidón vinculados al algarrobo (Neltumaa sp.) (36,11%) se encontraron mayormente en forma de conglomerados circulares, con tamaños que variaron entre los 7 µm y los 20 µm. Algunos granos presentaron el hilum en posición central, mientras que en otros mostraron formas excéntricas y punteadas, acompañadas de cuatro brazos finos y ondulados (Figura 4Aa y 4Ab). Por su parte, los granos de almidón asociados al poroto (Phaseolus sp.) (11,11%) se caracterizaron por formas principalmente ovaladas/elongadas, con tamaños que oscilaron entre 12 µm y 23 µm. Se caracterizan por tener un centro oscuro que generaba líneas negras o “destellos” que se observan bajo luz polarizada (Figura 4Ba y 4Bb). Además, fue posible identificar la presencia de un lóbulo dentro de estos granos, como señalan Korstanje y Babot (2007) y Babot et al. (2007). Finalmente, los granos de almidón afines a la papa (Solanum tuberosum) (8,33%) presentaron formas ovaladas, con un extremo estrecho generalmente redondeado o truncado. El hilum excéntrico, se encontró principalmente en el extremo redondeado, como un círculo o línea. Presentan cuatro brazos visibles, dos largos y dos cortos. (Figura 4Ca y 4Cb). Las medidas variaron entre 9 µm y 16 µm.

Figura 4. Morfotipos identificados en granos de almidón. Aa-Ab) Conglomerado de granos circulares afines a Neltuma sp.; Ba- Bb) Grano oval afín a Phaseolus sp.; Ca- Cb) Grano oval afín a Solanum tuberosum; Da-Db) Grano poligonal afín a Zea mays.

La colección de referencia con material moderno que elaboramos nos permitió realizar comparaciones con algunas muestras arqueológicas e identificar ciertas similitudes. Un caso destacado es el del ulluco (Ullucus tuberosus) (Figura 5Ca y 5Cb), tubérculo domesticado cuyos granos de almidón se caracterizan por formas predominantemente acampanadas y ovaladas, algunas de las cuales presentan un hilum en forma de punto. Un rasgo diagnóstico para su identificación es que uno de los brazos presenta una ondulación en forma de S o zigzag, mientras que los demás son rectos (Figura 5Ba y 5Bb). Las formas diagnósticas tienen tamaños que varían entre los 13 µm de tamaño mínimo a 29 µm de tamaño máximo. En términos generales, los granos presentan una alta birrefringencia y sus lamelas no son visibles al microscopio óptico con luz blanca. En las muestras arqueológicas, identificamos un grano de almidón que comparte la mayoría de estos atributos (Figura 5Aa y 5Ab), con un diámetro de 25,95 µm, lo que sugiere que podría estar asociado al ulluco (Ullucus tuberosus).

Figura 5. Muestra de referencia comparativa. Aa, Ab) Grano de almidón arqueológico; Ba, Bb) Grano de almidón moderno de Ulluco (Ullucus tuberosus); Ca, Cb) Conglomerado de granos de almidón modernos de Ulluco (Ullucus tuberosus).

Distribución de especies y formas cerámicas

Tras identificar los taxa botánicos mediante el análisis de microrrestos vegetales, se analizó su distribución en las diferentes clases de piezas cerámicas halladas en el sitio. Esto permitió explorar posibles correlaciones entre las plantas y sus formas de procesamiento, así como con las variedades de pastas, formas y funciones de las vasijas, ofreciendo una aproximación a las prácticas de preparación y consumo de alimentos.

La alfarería de almacenamiento, procesamiento y consumo de alimentos en Ambato

Los artefactos cerámicos empleados como ollas y vajilla en el Valle de Ambato fueron clasificados de acuerdo con sus pastas, técnicas de manufactura y formas. En primer lugar, a partir de las pastas y formas de manufactura se definieron distintas clases tecnológicas, con un espectro limitado de variaciones dentro de cada una de ellas (Fabra, 2007), y que aquí sintetizamos en dos grandes clases:

Clase tecnológica A: se define por una cocción oxidante, con antiplástico compuesto por arena, cuarzo y mica, de tamaños variados y densidad muy alta, en una pasta algo friable con cavidades de diverso tamaño. El acabado de la superficie puede ser alisado o tosco. Cuando presentan decoración, se trata de pintura negra y blanca sobre el fondo rojo natural de la superficie externa (Bertolino y Fabra, 2003). Estas piezas corresponden a la cerámica conocida como “Ambato tricolor” o “Alumbrera tricolor” y están incluidas en la Clase E denominada por Fabra (2007) (Figura 6D, 6E, 6F, 6J y 6K).

Clase tecnológica B: se caracteriza por una pasta muy compacta, de cocción reductora; con antiplástico de arena fina y con muy baja densidad de cavidades pequeñas. El acabado de superficie puede ser pulido en ambas caras o en la exterior y alisado en la interior. Cuando presentan decoración, ésta se encuentra en la superficie externa, realizada mediante incisión de líneas. Esta clase corresponde a la cerámica conocida como “Ambato negro grabado”, representativa de la alfarería Aguada de la zona, y se corresponden con la clase denominada como A por Fabra (2007) (Figura 6A, 6B, 6C, 6G, 6H y 6I).

Figura 6. Alfarería de almacenamiento, procesamiento y consumo de alimentos en Ambato. A, B, C) Vasijas de tres cuerpos (VTC) de Clase tecnológica B; D, E, F) Grandes Vasijas (GV) de Clase tecnológica A; G, H, I) Pucos de Clase tecnológica B; J, K) Vasijas Globulares (VG) de Clase tecnológica A.

Dentro de estas clases tecnológicas, se distinguen cuatro grandes grupos de formas, cada una con un aspecto limitado de variación en tamaño y morfología general y que se distribuyen de la siguiente manera:

Clase tecnológica A:

Grandes Vasijas (GV): Piezas restringidas de grandes dimensiones, con un contorno compuesto e inflexionado. Presenta una sección inferior subglobular con base cónica y una sección superior subcilíndrica con paredes convergentes, subcilíndrica de paredes convexas o subtroncocónica con paredes convergentes. Corresponden a la “Forma a” de Bedano et al. (1993) (Figura 6D, 6E y 6F).

Vasijas Globulares (VG): Vasijas restringidas con forma globular y contorno inflexionado, a veces provistas de patas y asas. Corresponden a las “Otras formas” de Bedano et al. (1993) (Figura 6J y 6K).

Clase tecnológica B:

Vasijas de tres cuerpos (VTC): Vasijas restringidas de contorno complejo, compuestas por una sección inferior subtroncocónica, una intermedia subglobular y otra superior subtroncocónica con paredes convergentes, subcilíndrica de paredes ligeramente convergentes o rectas. Corresponden a la “Forma ab” de Bedano et al. (1993) (Figura 6A, 6B y 6C).

Pucos: Escudillas o pucos no restringidos de contorno compuesto, formados por una sección inferior subtroncocónica y otra superior de paredes rectas. Ambas secciones se unen mediante un punto angular ubicado en la parte media o por encima de la pieza. Corresponden a las “Escudillas” de Bedano et al. (1993) (Figura 6G, 6H y 6I).

A partir del análisis tecno-morfológico, rastros de uso, de microfósiles y residuos orgánicos, se determinó la funcionalidad de estas piezas en relación con el almacenamiento, preparación y consumo de alimentos (Gastaldi, 2010; Pazzarelli, 2006, 2011). Las GV parecen haberse utilizado para el almacenamiento y procesamiento de bebidas fermentadas (Figura 6D, 6E y 6F), mientras que las VG, más pequeñas, habrían sido destinadas a la cocción de diferentes tipos de alimentos (Figura 6J y 6K). En ambos casos, las superficies externas de las vasijas presentaron fragmentos con restos de hollín, lo que indica su contacto con el fuego. Por otro lado, las VTC no presentaban huellas de exposición al fuego, pero sí contenían altos niveles de residuos vegetales y animales. Esto sugiere que probablemente se usaban para el almacenamiento a mediano plazo, funcionando como intermediarias entre el almacenamiento a largo plazo y el consumo final (Figura 6A, 6B y 6C). Por último, los Pucos, habrían sido empleados para el consumo de distintos tipos de alimentos (Figura 6G, 6H y 6I).

Distribución de las especies y familias vegetales

De los 42 fragmentos cerámicos analizados, 20 (47,62%) corresponden a la Clase tecnológica A, asociadas a las GV y VG; mientras que 22 (52,38%) pertenecen a la Clase tecnológica B, correspondientes a las VTC y a los Pucos.

Para conocer la distribución de los diferentes taxa entre las dos clases tecnológicas (A y B), se realizó un conteo basado en la presencia/ausencia de microrrestos vegetales diagnósticos para su identificación botánica. Los resultados mostraron una presencia generalizada de microrrestos vegetales en ambas clases, con la excepción de los tubérculos, que estuvieron ausentes en la Clase A (Figura 7).

Figura 7. Distribución de los distintos taxa identificados entre las clases tecnológicas A y B. Nota: El eje vertical representa la frecuencia de aparición de los taxa en cada clase.

Estudios previos sobre ácidos grasos presentes en residuos de vasijas cerámicas no identificaron restos vinculados con la alimentación en las pastas de la Clase B (Pazzarelli, 2011). Sin embargo, posteriormente Colobig y colaboradores (2020) identificaron granos de almidón afines a algarrobo blanco (Neltuma chilensis) en residuos adheridos a este mismo tipo de recipientes. Estos hallazgos, junto con los resultados del presente estudio, evidencian el uso de recursos de origen vegetal en este tipo de alfarería.

En particular, se destaca la presencia de papa (Solanum tuberosum) y ulluco (Ullucus tuberosus), exclusivamente en la Clase tecnológica B, correspondiente al estilo cerámico Ambato negro grabado. Además, el algarrobo (Neltuma sp.) es predominante en ambas clases tecnológicas (A y B), mientras que el maíz (Zea mays) registra el segundo orden en importancia de las especies determinadas. Sin embargo, hay leves diferencias: el algarrobo (Neltuma sp.) es más abundante en la Clase B en comparación con la Clase A, mientras que el maíz (Zea mays) tiene una presencia ligeramente más alta en la Clase A. El zapallo (Cucurbita sp.) se encuentra en igual proporción en ambas clases tecnológicas, mientras que el poroto (Phaseolus sp.) y la palma (Arecaceae) son más abundantes en la Clase A.

Si consideramos que en las vasijas Clase A, de pastas con características porosas, se identificaron un total de 1.009 microrrestos vegetales, mientras que en las Clase B, con arcilla más compacta, fueron 762 los microrrestos identificados, podemos decir que – y contrariamente a lo esperado – las características propias de cada tipo de pasta y manufactura no tendría mayor incidencia en la capacidad de retener microrrestos, ya que se registró una cantidad similar en ambas clases tecnológicas, con diferencias que resultan no significativas.

Considerando estos resultados, cabe preguntarse si, más allá de las propiedades de las pastas, estos resultados podrían estar relacionados con el ciclo de procesamiento de las especies para consumo humano. Nos preguntamos entonces si cada especie pudo haber circulado por distintas clases de recipientes, de acuerdo con las diferentes etapas de la cadena operativa de los alimentos vegetales. Para explorar esta hipótesis, se analizó la correlación entre la presencia de microrrestos vegetales en las distintas pastas y las formas cerámicas, considerando también los daños observables por procesamiento en los granos de almidón.

Para analizar la distribución de los taxa botánicos entre las diferentes formas cerámicas, ordenamos los tiestos cerámicos de los cuales se extrajeron las muestras según la cadena operativa de los alimentos, desde su acopio o almacenamiento en las (GV), su procesamiento en las VG, al consumo final en las VTC y Pucos. Siguiendo las propuestas de Pazzarelli (2006, 2011) y Gastaldi (2010) asignamos funciones a los recipientes como se detalló anteriormente. De un total de 42 muestras, nueve (21,43%) corresponden a las GV, 10 (23,81%) a las VG y 14 (33,33%) a las VTC y Pucos. Los restantes nueve (21,43%), son fragmentos cerámicos que no presentaron atributos suficientes para reconstruir sus formas, por lo que no fueron considerados en este análisis.

Como se observa en la Figura 8, todas las formas cerámicas presentan los principales taxa botánicos, entre ellos algarrobo (Neltuma sp.), maíz (Zea mays), palma (Arecaceae) y poroto (Phaseolus sp.). Sin embargo, las abundancias relativas varían y cada tipo de recipiente muestra la presencia adicional de otras especies. En las GV, asociadas al almacenamiento y fermentación, se identificaron cinco variedades de plantas: Neltuma sp., Arecaceae, Zea mays, Cucurbita sp. y Phaseolus sp. Destaca la predominancia del algarrobo (Neltuma sp.), cuya cantidad duplica al de la segunda variedad más abundante, perteneciente a la familia Arecaceae. Por su parte, en las VG, relacionadas con el procesamiento de alimentos, se encontraron cuatro de las principales variedades determinadas: Neltuma sp., Arecaceae, Zea mays y Phaseolus sp., siendo el maíz (Zea mays) la especie predominante, mientras que el algarrobo (Neltuma sp.) ocupa el segundo lugar en abundancia, con una diferencia de aproximadamente un 25%. En las VTC y Pucos, asociados al consumo, se encuentran seis de las principales variedades. Aquí se destacan dos aspectos importantes: la alta predominancia del algarrobo (Neltuma sp.), cuya presencia es el doble que la del maíz (Zea mays, la segunda especie en orden de abundancia) y la ausencia del poroto (Phaseolus sp.), que estaba presente en las GV y las globulares, aunque en muy baja proporción. Asimismo, se destaca la presencia de papa (Solanum tuberosum) y posiblemente de ulluco (Ullucus tuberosus), especies no identificadas en las otras dos variedades de recipientes.

Figura 8. Distribución de los taxa por tipos cerámicos en función de su cadena operativa. Grandes Vasijas (GV): almacenamiento y fermentación; Vasijas Globulares (VG): procesamiento; Vasijas de Tres Cuerpos (VTC) y Pucos: servicio y consumo. Nota: El eje vertical expresa la frecuencia de aparición de los taxa en cada grupo morfológico.

Interpretación de daños por procesamiento

Investigaciones previas han analizado diversos productos vegetales sometidos a distintos métodos de procesamiento, tales como secado al sol, tostado, carbonizado, congelación y molienda, entre otros (Babot, 2003; Capparelli et al., 2014; Musaubach y Berón, 2017). Basándonos en estos estudios, se buscó inferir las formas de procesamiento a las que podrían haber sido expuestas las diferentes partes de las plantas encontradas en las adherencias de los fragmentos cerámicos examinados en este trabajo (Figura 9).

Figura 9. Granos de almidón analizados para inferir formas de procesamiento de alimentos. Aa, Ab) Grano circular afín a Neltuma sp. sin daños; Ba, Bb) Grano circular afín a Neltuma sp. con hilum expandido y gelatinización; Ca, Cb) Grano poligonal afín a Zea mays con hilum expandido; Da, Db) Grano poligonal afín a Zea mays, fracturado y con hilum expandido; Ea, Eb) Grano circular no diagnóstico gelatinizado; Fa, Fb) Grano circular no diagnóstico, fracturado.

A partir de estas interpretaciones, se identificaron las siguientes formas de procesamiento: en primer lugar, predomina la exposición al calor seco (21%), seguida por la gelatinización, que puede estar relacionada tanto con calor seco como húmedo (25%), o la combinación de ambas (25%). En conjunto, estos métodos representan el 71 % de la muestra analizada. Por otro lado, el daño por molienda, en combinación con calor seco y gelatinización, se observó en el 15% de la muestra. Finalmente, es importante destacar que el 14% de los almidones no presentaban alteración alguna; lo que podría deberse a la resistencia natural de los granos ante los procesos aplicados o a que no fueron sometidos a ningún tratamiento y simplemente estaban almacenados.

Al analizar cuales taxa están relacionados con cada tipo de evidencia de procesamiento, se observó que tanto el algarrobo (Neltuma sp.) como el maíz (Zea mays) presentan daños vinculados mayormente a la gelatinización, la exposición al calor seco y la combinación de ambos. Por su parte, el maíz (Zea mays) presenta una mayor evidencia de haber sido molido. En cuanto al poroto (Phaseolus sp.), se identificaron características relacionadas con la exposición a una fuente de calor seco y gelatinización. Por otro lado, en el caso de los tubérculos, como la papa (Solanum tuberosum) y el ulluco (Ullucus tuberosus), no presentan daños evidentes, lo que puede estar relacionado, como se adelantó, con la resistencia natural de estos almidones a los procesos aplicados, una característica también observada en menor proporción en otros taxa. Finalmente, los almidones que no pudieron ser identificados taxonómicamente muestran una variedad de alteraciones, lo que refuerza la evidencia que los vegetales eran sometidos a múltiples tipos de transformaciones durante su procesamiento.

Al combinar esta información sobre la identificación taxonómica de los microrrestos y los daños observados en los granos de almidón, junto con la referente a los fragmentos analizados, es posible aproximarse a los tipos de transformaciones a las que eran sometidos los alimentos, en relación con las formas cerámicas previamente definidas. Dentro de cada uno de los grupos de formas, encontramos:

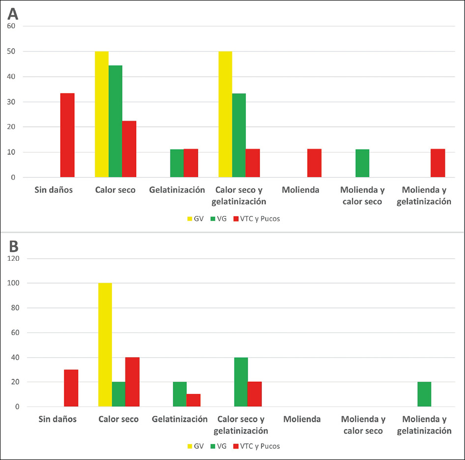
a.Grandes Vasijas (Figura 6D, 6E y 6F): los granos de almidón afines al maíz (Zea mays) presentan daños relacionados con la exposición al calor seco y la gelatinización (Figura 10A). En el caso del algarrobo (Neltuma sp.), únicamente muestra evidencia de exposición al calor seco (Figura 10B). El poroto (Phaseolus sp.) también presenta daños compatibles con la exposición a una fuente de calor seco. Estas alteraciones son consistentes con la práctica de secado de los productos vegetales como forma de prolongar su periodo de almacenamiento. Además, la presencia de diatomeas de agua dulce sugiere el uso de agua en el procesamiento de las plantas, especialmente en asociación con el maíz (Zea mays), lo cual podría estar relacionado con el fermentado de bebidas como la chicha. Este tipo de preparaciones ha sido previamente constatado en el Valle de Ambato a partir de vasijas cerámicas de este mismo grupo morfológico que presentaban patrones de desgaste interno vinculados a procesos de fermentación, a la vez que se identificaron ácidos grasos con cierta tendencia a recursos de origen vegetal, lo que permitió hipotetizar que se trataba de maíz (Zea mays) (Gastaldi, 2010; Laguens et al., 2008; Pazzarelli, 2006). Por último, observamos la presencia de silicofitolitos afines a zapallo (Cucurbita sp.).

b.Vasijas Globulares (Figura 6J y 6K): En contraste con las vasijas del grupo anterior, los granos de almidón de maíz (Zea mays) no sólo muestran evidencias de exposición a una fuente de calor seco y gelatinización, sino también indicios de gelatinización aislada, lo que sugiere un posible hervido de sus granos (10A). Al mismo tiempo, se registran signos de molienda y exposición a calor seco, lo que indica que el maíz podría haber sido incorporado en forma de harina. En cuanto al algarrobo (Neltuma sp.), los granos de almidón presentan daños vinculados con la exposición al calor seco, gelatinización y la combinación de ambas prácticas (10B). A su vez, la evidencia de molienda está relacionada con la gelatinización. Para el poroto (Phaseolus sp.), los granos de almidón presentan evidencias de gelatinización, lo cual sugiere que fueron hervidos en esta etapa.

Estas observaciones son consistentes con lo sugerido por Gastaldi (2010) en relación con las funciones atribuidas a este tipo de vasijas, cuyas pastas (porosas, con buen comportamiento térmico y alta resistencia al shock) y sus propiedades formales (con formas globulares o subglobulares, sin puntos de inflexión marcados en el cuerpo) indican que se tratan de recipientes muy aptos para ser sometidos al fuego. Otros indicios que permiten sumar interpretaciones acerca de sus modos de uso son las huellas de carbonización en su superficie exterior; mientras que su lado interno, presenta astilladuras y estrías paralelas en la zona del borde que podrían sugerir la utilización de instrumentos para revolver o acceder a los contenidos (Gastaldi, 2010).

c.Vasijas de tres cuerpos y (d) Pucos (Figura 6A, 6B, 6C, 6G, 6H y 6I): En estas piezas cerámicas, el maíz (Zea mays) muestra rastros de haber sido sometido a fuentes de calor seco, húmedo y a una combinación de ambas técnicas, así como a procesos de molienda y gelatinización (10A). Por otro lado, el algarrobo (Neltuma sp.), solo muestra daños asociados al calor seco, la gelatinización y su combinación (10B). Los tubérculos, papa (Solanum tuberosum) y ulluco (Ullucus tuberosus), se encontraron únicamente en este tipo de vasijas, pero no muestran evidencias de procesamiento. También, se identificó la presencia de silicofitolitos asociados a zapallo (Cucurbita sp.) en este tipo de alfarería.

Figura 10. Gráfico que representa los daños de procesamientos observados en distintos taxa y su distribución en las diferentes formas cerámicas (Grandes Vasijas, Vasijas Globulares, Vasijas de tres cuerpos y Pucos). A) Datos que corresponden a Zea mays; B) Datos que corresponden a Neltuma sp.

Es importante mencionar que los morfotipos afines a la palmera (Arecaceae) fueron registrados en los cuatro grupos morfológicos de vasijas. Considerando los antecedentes de este taxón en Ambato, que discutiremos a continuación, parece tratarse de un recurso vegetal con múltiples usos, que van desde el consumo de sus frutos hasta su empleo como materia prima en la fabricación de cestería, artefactos para el transporte de alimentos y la elaboración de vasijas y coladores (Assandri, 1991). Por lo tanto, tiene sentido encontrarlo en todos los tipos de alfarería, ya que podría haber sido un componente botánico presente tanto en las etapas de producción como de consumo de alimentos.

Discusión

Los datos obtenidos señalan que los taxa más abundantes, con evidencias tanto de silicofitolitos como de granos de almidón, son el algarrobo (Neltuma sp.) y el maíz (Zea mays). Trabajos previos registraron la presencia de ambos en el Valle de Ambato, tanto en macrorrestos (Pocchetino, 2000) como en microrrestos asociados a material cerámico y lítico (Colobig et al., 2020; Pazzarelli, 2011) y en tártaro dental (Tavarone et al., 2023). Particularmente, el maíz (Zea mays) fue identificado a partir de silicofitolitos encontrados en sedimento de estructuras agrícolas (Figueroa et al., 2015; Zucol et al., 2012), mientras que morfotipos afines a la familia Cucurbitaceae también fueron identificados en estos espacios dedicados al cultivo a partir de silicofitolitos (Zucol et al., 2012, 2015).

En relación con los silicofitolitos asociados a la familia de las Arecaceae, aunque no se ha podido identificar la especie, estos hallazgos permiten reconsiderar descubrimientos previos en el valle. En particular, se recuperaron frutos de Copernicia sp. en el sitio El Altillo, provenientes de niveles superiores de la estratigrafía (0,040 m de profundidad) y asociados con materiales alfareros formativos (Ávila y Herrero, 1991). Estas palmeras pertenecen al Distrito Chaqueño Oriental, con una distribución que se extiende hasta el norte de Santiago del Estero y el Chaco Salteño.

Por otro lado, los análisis realizados por Zucol y colaboradores (2012) de silicofitolitos asociados a estructuras de cultivo en la localidad de Los Varela, identificaron elementos arecoides. Los autores estiman que podrían corresponder a la especie Trithrinax schyzophylla, basándose en las descripciones fitogeográficas de Morláns (2009), que mencionan la presencia de estas palmeras en las laderas bajas y en el piedemonte del Chaco Serrano. Sin embargo, los morfotipos de estas palmeras no se presentaron en la totalidad de las estructuras, sino únicamente en los niveles superficiales, lo que llevó a pensar que se trataron de componentes vegetales introducidos por actividades antrópicas (Zucol et al., 2012).

Es interesante que ambas investigaciones, a través de diferentes enfoques, sugieren que las palmeras eran recursos vegetales posiblemente traídos desde otras zonas para aprovechar las distintas partes de la planta con diversos fines de uso/consumo. Esta información, junto con datos sobre otros recursos vegetales como la madera (Marconetto y Gordillo, 2008), sugieren una conexión entre el Valle de Ambato y otras regiones.

En este contexto, la posible presencia de ulluco (Ullucus tuberosus) representaría una nueva especie en el conjunto de recursos vegetales provenientes de otros ambientes. Dado que este tubérculo crece a altitudes superiores a 2.800 m s.n.m., es improbable que haya sido producido localmente en el Valle de Ambato, donde los espacios destinados al cultivo se encuentran entre 1.122 y 1.580 m s.n.m. (Figueroa, 2010). Esto sugiere que su presencia podría reflejar intercambios culturales o agrícolas con zonas de mayor altitud, donde este cultivo es más viable. No obstante, el valle contaba con acceso a pastizales y fauna en altitudes superiores, como se evidencia en el conjunto zooarqueológico de los sitios (Dantas, 2010) y la presencia de parapetos de pirca en los pisos altos de las sierras (Cruz, 2003).

En cuanto a la papa (Solanum tuberosum), fue identificada a partir de microrrestos vegetales hallados en diversos soportes arqueológicos, como el tártaro dental (Tavarone et al., 2023), instrumentos líticos (Pazzarelli, 2011) y en sedimento de estructuras agrícolas (Zucol et al., 2012, 2015). Por lo tanto, estos hallazgos son consistentes con un posible cultivo local. Por otro lado, el poroto (Phaseolus sp.), también ha sido identificado anteriormente tanto en microrrestos vegetales asociados a instrumentos líticos (Pazzarelli, 2011) y tártaro dental (Tavarone et al., 2023) como en macrorrestos (Pocchetino, 2000).

Cabe destacar algunas ausencias relevantes en nuestras muestras. En diversas estructuras de cultivo se han recuperado variados microrrestos de origen vegetal, entre los cuales se identificaron principalmente elementos afines a palmeras (Arecaceae) y bambúes (Bambusoideae) asociados a otros elementos silíceos que pudieron haber funcionado como un cultivo acompañante, quizás utilizadas con la finalidad de reparo (Zucol et al., 2012). De esos taxa botánicos, el único registrado en este trabajo fue la palmera (Arecaceae).

Por otro lado, la familia Cannaceae fue identificada a partir de granos de almidón adheridos al tártaro dental (Tavarone et al., 2023). Dentro de este grupo taxonómico, diversas especies han sido documentadas previamente en la provincia de Catamarca con diferentes usos asociados. Por ejemplo, Canna indica, utilizada por las actuales poblaciones rurales de la sierra de Ancasti, donde sus hojas se emplean para envolver quesillos y mantenerlos frescos (Martínez, 2022). Además, en la región de El Alto‐Ancasti, los rizomas de Canna indica L. han sido utilizados con fines alimenticios y medicinales (Zuccarelli et al. 2021a, 2021b). También se ha registrado la presencia de Canna edulis en contextos arqueológicos relacionados con actividades de molienda en otras áreas del noroeste argentino, como Huachichocana y Santa Rosa de Tastil (Korstanje y Babot, 2007).

Los daños observados en los granos de almidón permitieron aproximarnos a posibles métodos de preparación de alimentos. Prácticas como el secado o tostado de productos vegetales, empleadas para prolongar su periodo de almacenamiento, se asociaron con el poroto (Phaseolus sp.), el algarrobo (Neltuma sp.) y el maíz (Zea mays). De estos últimos, se obtendrían harinas a través de un proceso de molienda. Otra posible utilización del maíz, según lo observado, sería su fermentación para la elaboración de bebidas como la chicha. Además, la evidencia de hervido de distintos recursos parece coincidir con preparaciones que implicaban la cocción de una variedad de ingredientes, incluidos los de origen animal, dentro de una misma olla, al estilo de un guiso o sopa (Laguens et al., 2007; Pazzarelli, 2011).

A partir de lo analizado, podemos inferir que los alimentos en el Valle de Ambato atravesaban diferentes recorridos culinarios, en los que eran transformados y combinados hasta su consumo, integrándose en una trama más amplia de prácticas y materialidades en torno a la cocina y la alimentación (Laguens et al., 2007).

Consideraciones finales

Los resultados obtenidos en este trabajo han permitido conocer una amplia diversidad de recursos vegetales, tanto silvestres como cultivados, que fueron procesados y consumidos por las personas que habitaron el sitio Piedras Blancas entre los siglos VI-XI d.C. En otros sitios del valle de Ambato, los taxa identificados coinciden en gran medida con los relevados en este estudio (Colobig et al., 2020; Figueroa et al., 2015; Pazzarelli, 2011; Pocchetino, 2000; Tavarone et al., 2023; Zucol et al., 2012, 2015). Estas similitudes, no solo en variedad botánica, sino también en proporción y las técnicas de procesamiento, sugieren que las prácticas de elaboración de alimento eran muy similares entre distintos sectores de la sociedad Aguada.

Asimismo, la presencia de diferentes taxa y las diversas alteraciones observadas en algunos granos de almidón, en relación con las distintas variedades de piezas cerámicas, son coherentes con las estimaciones alcanzadas en trabajos anteriores sobre la funcionalidad de estas piezas (Gastaldi, 2010; Pazzarelli, 2006, 2011).

Los conocimientos y saberes en torno a la comida y sus preparaciones se mantienen y transmiten hacia el interior de las comunidades, constituyendo la identidad de los grupos. Por lo tanto, entendemos que esta aproximación a la alimentación en el Valle de Ambato no sólo destaca modos de hacer similares, sino que también refleja los sentidos compartidos que se manifiestan en los ritmos cotidianos de la vida.

Agradecimientos

Agradecemos al Consejo Interuniversitario Nacional (CIN) por el financiamiento de esta investigación mediante la beca de Estímulo a las Vocaciones Científicas (Beca EVC-CIN) (convocatoria 2022), a Juan Murra del Centro de Investigaciones de Ciencias de la Tierra (CICTERRA-CONICET) y a los evaluadores anónimos por sus valiosos aportes y sugerencias que permitieron mejorar la versión original de este manuscrito.

Referencias citadas

» Assandri, S. (1991). Primeros resultados de la excavación en el sitio Martínez 1 (Catamarca, Argentina). Publicaciones del Centro de Investigaciones de la Facultad de Filosofía y Humanidades de la Universidad Nacional de Córdoba, 46, 53-86. https://museoantropologia.unc.edu.ar/wp-content/uploads/sites/16/2022/11/ARQUEOLOGIA_DEL_AMBATO_Publicaciones_46.pdf (Acceso: 19 de marzo, 2025).

» Assandri, S. (2006). Técnicas de análisis espacial de la Cultura La Aguada en el Valle de Ambato, Catamarca, Argentina. Actas de la IV Mesa Redonda: La Cultura de La Aguada y su Dispersión, 107-126.

» Atalay, S. y Hastorf, C. (2006). Food, meals, and daily activities: food habitus at neolithic Catalhoyuk. American Antiquity, 71(2), 283-319. http://doi.org/10.2307/40035906

» Ávila, A. y Herrero, R. (1991). Secuencia estratigráfica del sitio arqueológico Martínez 3, Dpto. Ambato, Catamarca. Publicaciones del Centro de Investigaciones de la Facultad de Filosofía y Humanidades de la Universidad Nacional de Córdoba, 46, 17-52. https://museoantropologia.unc.edu.ar/wp-content/uploads/sites/16/2022/11/ARQUEOLOGIA_DEL_AMBATO_Publicaciones_46.pdf (Acceso: 19 de marzo, 2025).

» Babot, M. P. (2003). Starch grain damage as an indicator of food processing. En D. Hart y L. Wallis (Eds.), Phytolith and starch research in the Australian-Pacific- Asian regions: the state of the art (pp. 69-81). Canberra: Pandamus Books.

» Babot, M. P., Oliszewski, N. y Grau, A. (2007). Análisis de caracteres macroscópicos y microscópicos de Phaseolus vulgaris (Fabaceae, Faboideae) silvestres y cultivados del Noroeste argentino. Una aplicación en arqueobotánica. Darwiniana, 45(2), 149-162. https://doi.org/10.14522/darwiniana.2014.452.87

» Ball, T., Chandler-Ezell, K., Dickau, R., Duncan, N., Hart, T. C., Iriarte, J., Lentfer, C., Logan, A., Lu, H., Madella, M., Pearsall, D., Piperno, D. R., Rosen, A. M., Vrydaghs, L., Weisskopf, A. y Zhang, J. (2016). Phytoliths as a tool for investigations of agricultural origins and dispersals around the world. Journal of Archaeological Science, 68, 32-45. http://doi.org/10.1016/j.jas.2015.08.010

» Bedano, M. C., Juez, M. S. y Roca, M. D. (1993). Análisis del material arqueológico de la colección Rosso Procedente del Departamento de Ambato, provincia de Catamarca. Tucumán: Universidad Nacional de Tucumán, Instituto de Arqueología.

» Benvenuto, M. L., Honaine, M. F., Osterrieth, M. L. y Morel, E. (2015). Differentiation of globular phytoliths in Arecaceae and other monocotyledons: morphological description for paleobotanical application. Turkish Journal of Botany, 39(2), 341-353. https://doi.org/10.3906/bot-1312-72

» Bertoldi de Pomar, H. (1971). Ensayo de clasificación morfológica de los silicofitolitos. Ameghiniana, 8(3-4), 317-328. https://www.ameghiniana.org.ar/index.php/ameghiniana/article/view/1352 (Acceso: 19 de marzo, 2025).

» Bertolino, S. y Fabra, M. (2003). Provenance and ceramic technology of pot sherds from ancient Andean cultures at the Ambato valley, Argentina. Applied Clay Science, 24(1-2), 21-34. http://doi.org/10.1016/j.clay.2003.03.001

» Bourdieu, P. (2007). El sentido práctico. Buenos Aires: Siglo XXI.

» Capparelli, A., Pochettino, M. L., Lema, V., Lopez, M. L., Andreoni, D., Ciampagna, M. L. y Llano, C. (2014). The contribution of ethnobotany and experimental archaeology to interpretation of ancient food processing: methodological proposals based on the discussion of several case studies on Prosopis spp., Chenopodium spp. and Cucurbita spp. from Argentina. Vegetation History and Archaeobotany, 24, 151-163. http://doi.org/10.1007/s00334-014-0497-4

» Colobig, M. M., Figueroa, G. y Dantas, M. (2020). Primera aproximación a los microrrestos vegetales presentes en artefactos cerámicos y líticos de los sitios LRV11 y EP1, Valle de Ambato, Catamarca, Argentina. Anuario De Arqueología, 12(12), 95-108. https://doi.org/10.35305/aa.v12i12.47

» Cruz, P. (2003). Terrazas y Canales. Prácticas y estrategias agrícolas en la cuenca del río Los Puestos (dpto. Ambato) durante el Periodo de Integración Regional. Trabajo presentado en el Congreso Regional de Ciencia y Tecnología NOA 2003, Catamarca, Argentina.

» Dantas, M. (2010). Arqueología de los animales y procesos de diferenciación social en el Valle de Ambato, Catamarca, Argentina [Tesis de Doctorado inédita]. Universidad Nacional de Córdoba, Argentina.

» Fabra, M. (2007). Producción tecnológica y cambio social en sociedades agrícolas prehispánicas (Valle de Ambato, Catamarca, Argentina). Oxford: BAR. http://doi.org/10.30861/9781407301655

» Figueroa, G. (2010). Organización de la producción Agrícola en contextos sociales no igualitarios: El caso del Valle de Ambato, Catamarca, entre los siglos VII y XI d.C. [Tesis de Doctorado inédita]. Universidad Nacional de Córdoba, Argentina.

» Figueroa, G., Dantas, M. y Laguens, A. (2015). Producción de alimentos y diferenciación social en el Valle de Ambato, Catamarca, Argentina (siglos VI al XI d. c.). Una contribución a la problemática a través del estudio de silicofitolitos. Arqueología Iberoamericana, S1, 3-15. https://doi.org/10.5281/zenodo.1311915

» Gastaldi, M. (2010). Cultura Material, Construcción de Identidades y Transformaciones sociales en el Valle de Ambato durante el Primer milenio d. C. [Tesis de Doctorado inédita]. Universidad Nacional de la Plata, Argentina. http://sedici.unlp.edu.ar/handle/10915/5316

» González, A. R. (1961-1964). La cultura de La Aguada del NO. Argentino. Revista del Instituto de Antropología, 2-3, 205-253.

» Hastorf, C. (2016). The Social Archaeology of Food: Thinking about Eating from Prehistory to the Present. Oxford: Cambridge University Press. https://doi.org/10.1017/9781316597590

» ICSN (2011). The International Code for Starch Nomenclature. https://fossilfarm.org/ICSN/Code.html (Acceso: 19 de marzo, 2025).

» International Committee for Phytolith Taxonomy (ICPT) (2019). International Code for Phytolith Nomenclature (ICPN) 2.0. Annals of botany, 124(2), 189-199. https://doi.org/10.1093/aob/mcz064

» Korstanje, M. A. y Babot, M. P. (2007). Microfossils characterization from south Andean economic plants. En M. Madella y D. Zurro (Eds.), Plants, people and places. Recents studies in phytolith analysis (pp. 41-72). Oxford: Oxbow books. http://doi.org/10.2307/j.ctvh1dtr4.8

» Laguens, A. (2004). Arqueología de la diferenciación social en el Valle de Ambato, Catamarca, Argentina (S. II - VI D.C.): el actualismo como metodología de análisis. Relaciones de la Sociedad Argentina de Antropología, 29, 137-161. http://sedici.unlp.edu.ar/handle/10915/24955

» Laguens, A. (2007). Contextos materiales de desigualdad social en el valle de Ambato, Catamarca, Argentina, entre los siglos VII y X d.C. Revista Española de Antropología Americana, 37(1), 27-49. https://revistas.ucm.es/index.php/REAA/article/view/REAA0707120027A (Acceso: 19 de marzo, 2025).

» Laguens, A. (2014). Cosas, personas y espacio social en el estudio de la desigualdad social. La trama de las relaciones en una sociedad diferenciada en la región andina de Argentina (ss. VI a X d.C.). ArkeoGazte, 4, 127-146. http://hdl.handle.net/11336/11137

» Laguens, A. (2023). Repensar la arqueología de Piedras Blancas: cosas, espacios, personas y tiempos en relación (Valle de Ambato, Catamarca, Argentina; S. VI-XI d.C.). Relaciones de la Sociedad Argentina de Antropología, 48 (Especial 1), 1-23. https://dx.doi.org/10.24215/18521479e044

» Laguens, A., Dantas, M., Figueroa, G., Gastaldi, M., Juez, S. y Pazzarelli, F. (2007). Vasijas+pucos con huesos+agua no son sólo sopa: la cerámica de uso doméstico en el siglo XI d. C. en el Valle de Ambato (Catamarca) y sus relaciones con otros entramados sociales y materiales. Pacarina. Revista de Arqueología y Etnografía, 353-359.

» Laguens, A., Pazzarelli, F. y Vargas Ibarra, G. (2008). Análisis experimental: fermentación de chicha de maíz en vasijas cerámicas. Universidad Nacional de Córdoba. Manuscrito inédito.

» Marconetto, M. B. y Gordillo, I. (2008). Los techos del vecino. Análisis antracológico de las estructuras de construcción de los sitios Piedras Blancas e Iglesia de los Indios. Darwiniana, Nueva Serie, 46(2), 213-226. https://doi.org/10.14522/darwiniana.2014.462.71

» Marconetto, M. B., Gastaldi, M. R., Lindskoug, H. B. y Laguens, A. (2014). Merging the matrix: stratigraphy, radiocarbon dates, and fire regimens in the Ambato valley (Catamarca, NW Argentina). Radiocarbon, 56(1), 189-207. https://doi.org/10.2458/56.16100

» Martínez, G. (2022). Alimentación y plantas en la ruralidad de Sierra de Ancasti (Catamarca, Argentina). Revista Rivar, 9(25), 93-116. https://doi.org/10.35588/rivar.v9i25.5418

» Morláns, M. C. (2009). Regiones Naturales de Catamarca, Provincias geológicas y provincias fitogeográficas. Área de Ecología. Catamarca: Editorial Científica Universitaria, Universidad Nacional de Catamarca. https://editorial.unca.edu.ar/Publicacione%20on%20line/Ecologia/imagenes/pdf/006-fitogeografia-catamarca.pdf (Acceso: 19 de marzo, 2025).

» Morlans, M. C. y Guichón, B. (1995). Reconocimiento ecológico de la Provincia de Catamarca I: Valle de Catamarca. Vegetación y Fisiografía. Revista de Ciencia y Técnica, 1, 15-47. https://editorial.unca.edu.ar/Publicacione%20on%20line/CIENCIA%20Y%20TECNOLOGIA/Rev.%20CyT%20PDF/RevCyT1/Morlans-Guichon.pdf (Acceso: 19 de marzo, 2025).

» Morrone, J. J. (2017). Neotropical Biogeography. Regionalization and Evolution. Boca Raton: CRC Press. http://doi.org/10.1201/b21824

» Musaubach, M. G. (2017). Microrrestos vegetales en residuos arqueológicos. Propuesta metodológica para su estudio arqueobotánico. Relaciones de la Sociedad Argentina de Antropología, 42(2), 379-388. https://sedici.unlp.edu.ar/handle/10915/64162

» Musaubach, M. y Berón, M. (2017). Food residues as indicators of processed plants in hunter-gatherers’ pottery from La Pampa (Argentina). Vegetation History and Archaeobotany, 26, 111-123. https://doi.org/10.1007/s00334-016-0581-z

» Pazzarelli, F. (2006). Prácticas domésticas de almacenamiento y consumo en contextos arqueológicos de desigualdad social (Valle de Ambato, Catamarca) [Tesis de Licenciatura inédita], Universidad Nacional de Córdoba, Argentina.

» Pazzarelli, F. (2011). Arqueología de la comida, cultura material y prácticas de alimentación en Ambato. Catamarca (Argentina). Siglos V-XI [Tesis de Doctorado inédita], Universidad Nacional de Córdoba, Argentina.

» Pearsall, D., Chandler-Ezell, K y Chandler-Ezell, A. (2003). Identifying maize in neotropical sediments and soils using cob phytoliths. Journal of Archaeological Science, 30(5), 611-627. http://doi.org/10.1016/S0305-4403(02)00237-6

» Pérez Gollán, J. (1991). La cultura de La Aguada vista desde el Valle de Ambato. Publicaciones del CIFFYH, Arqueología, 46, 157-173.

» Piperno, D. R. (2006). Phytoliths. A comprehensive guide for archaeologists and paleoegologists. Oxford: Altamira Press.

» Pocchetino, M., (2000). Informe del Laboratorio de Etnobotánica Aplicada, Facultad de Ciencias Naturales y Museo, Universidad Nacional de La Plata. Manuscrito inédito.

» Tavarone, A., Colobig, M., Dantas, M. y Figueroa, G. (2023). De la planta a la boca: identificación de restos vegetales en los sitios el Polear 1 y Uturunco 1, a partir del análisis de cálculo dental humano. Relaciones de la Sociedad Argentina de Antropología, 48(Especial 2), 245-263. https://doi.org/10.24215/18521479e080

» Zuccarelli Freire, V., Meléndez, A., Oviedo, M. y Quesada, M. (2021a). Erosion control in Prehispanic agrarian landscapes from Northwestern Argentina: El Alto‐Ancasti Highlands case study (Catamarca, Argentina). Geoarchaeology, 37, 74-95. http://doi.org/10.1002/gea.21862

» Zuccarelli, V. N., Roberts, P., Meléndez, A. S., Tromp, M. y Quesada, M. (2021b). Managing environmental diversity in the eastern foothills of the Andes: pre- Columbian agrarian landscapes in the El Alto-Ancasti Mountain range. World Archaeology, 53(4), 615-642. https://doi.org/10.1080/00438243.2021.1997639

» Zucol, A. F., Colobig, M. M. y Figueroa, G. G. (2015). Nuevos aportes al conocimiento de la utilización de terrazas de cultivo del primer milenio d.C. en el Valle de Ambato (Andes del sur, Catamarca, Argentina) mediante el análisis de microrrestos. Relaciones de la Sociedad Argentina de Antropología, 40(2), 425-454. http://hdl.handle.net/11336/69677

» Zucol, A. F., Figueroa, G. G. y Colobig, M. M. (2012). Estudio de microrrestos silíceos en sistemas de aterrazamiento del primer milenio d.C. en el Valle de Ambato (Andes del Sur), Catamarca, Argentina. Intersecciones en Antropología, 13, 163-179. https://www.ridaa.unicen.edu.ar/handle/123456789/120